Проволока латунная. Технические условия
Заменяет

Страница 1

Страница 2

Страница 3

Страница 4

Страница 5

Страница 6

Страница 7

Страница 8

Страница 9

Страница 10

Страница 11

Страница 12
ГОСУДАРСТВЕННЫЙ СТАНДАРТ СОЮЗА ССР
ПРОВОЛОКА ЛАТУННАЯ
ТЕХНИЧЕСКИЕ УСЛОВИЯ ГОСТ 1066-90
Издание официальное
Москва
УДК 669.35’5—426:006.354 Группа В74
ГОСУДАРСТВЕННЫЙ СТАНДАРТ СОЮЗА ССР
ПРОВОЛОКА ЛАТУННАЯ
ГОСТ
Технические условия 1066-90
ОКП 184590
Срок действия с 01.01.91 до 01.01.96
Настоящий стандарт распространяется на холоднодеформированную (тянутую) круглую, квадратную и шестигранную проволоку общего назначения из медно-цинковых сплавов (латуней).
1. ТЕХНИЧЕСКИЕ ТРЕБОВАНИЯ
1.1. Проволоку изготовляют в соответствии с требованиями настоящего стандарта по технологическому регламенту, утвержденному в установленном порядке.
Проволоку изготовляют из латуни марок J180, J168, J163 и J1C59—1 с химическим составом по ГОСТ 15527.
1.2. Основные параметры и размеры
1.2.1. Диаметр и предельные отклонения круглой проволоки должны соответствовать приведенным в табл. 1.
1.2.2. Размеры и предельные отклонения квадратной и шестигранной проволоки должны соответствовать приведенным в табл.2.
Теоретическая масса 1000 м проволоки приведена в приложении 1.
|
Таблица 1 |
|||||||||||||||||||||||||||||||||||||||||||||||||||||||||||||||||||||||||||||||||||||||||||||||||||||||||||||||||||||||||||||||||||||||||||||||||||||||||||||||||
|
|||||||||||||||||||||||||||||||||||||||||||||||||||||||||||||||||||||||||||||||||||||||||||||||||||||||||||||||||||||||||||||||||||||||||||||||||||||||||||||||||
|
Продолжение табл. 1 |
||||||||||||||||||||||||||||||||||||||||||||||||||||||||||||||||||||||||||||||||||||||||||||||||||||||||||||
|
||||||||||||||||||||||||||||||||||||||||||||||||||||||||||||||||||||||||||||||||||||||||||||||||||||||||||||
Примечания:
1. Диаметры изготовления проволоки разных марок латуней приведены табл. 3.
2. Шестой и седьмой знаки кода (XX) соответствуют шифру марок:
Л80—05,
Л68—10,
Л63—12,
ЛС59—1—48.
Антимагнитные:
Л80 AM—06,
Л68 AM—86,
Л63 AM—37,
ЛС59—1—49.
1.2.2. Размеры и предельные отклонения квадратной и шестигранной проволоки должны соответствовать приведенным в табл. 2.
|
Таблица 2 |
||||||||||||||||||||||||||||||||||||||||||||||||||||||||||||||||||
|
||||||||||||||||||||||||||||||||||||||||||||||||||||||||||||||||||
Примечания:
1. Шестой и седьмой знаки кода (XX) приведены в примечании 2 табл. 1.
2. За размер проволоки квадратного и шестигранного сечения принимаете» диаметр вписанной окружности, т. е. расстояние между параллельными гранями проволоки.
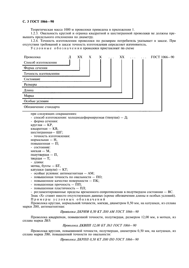
1.2.3. Овальность круглой и огранка квадратной и шестигранной проволоки не должна превышать предельного отклонения по диаметру.
1.2.4. Точность изготовления проволоки по размерам потребитель указывает в заказе. При отсутствии требований в заказе точность изготовления определяет изготовитель.
Условные обозначения проставляют по схеме:
ГОСТ
1066-90
XX
X
X
XX
Пооволока Л
Способ изготовления
Форма сечения
Точность изготовления
Состояние
Размеры
Длина
Марка
Обозначение стандарта
при следующих сокращениях:
способ изготовления: холоднодеформируемая (тянутая) — Д,
форма сечения: круглая — КР,
квадратная — КВ,
шестигранная — ШГ,
точность изготовления: нормальная — Н,
повышенная — П,
состояние: мягкая —М,
полутвердая — П,
твердая — Т,
длина: мотка, бухты — БТ,
катушки (шпули) — КТ.
особые условия: антимагнитная — AM,
повышенная точность по овальности — ПО,
повышенное качество поверхности — ПК,
повышенная прочность —1111,
повышенная пластичность — ПЛ,
регламентированные пределы временного
сопротивления в полутвердом состоянии — ВС.
Знак «X» ставится вместо отсутствующих данных (кроме обозначения длины и особых условий).
Примеры условных обозначений:
Проволока круглая, нормальной точности, мягкая, диаметром 0,5 мм, на катушках, сплава марки J180, антимагнитная:
Проволока ДКРНМ 0,5 КТ Л80 AM ГОСТ 1066-90 Проволока квадратная, повышенной точности, полутвердая, размером 12,0 мм, мотках, из сплава марки J163:
Проволока ДКВПП 12,0 БТ Л63 ГОСТ 1066-90
Проволока круглая, повышенной точности, полутвердая, диаметром 0,5 мм, на катушках, из сплава мар ки J180, повышенной точности по овальности:
Проволока ДКРПП 0,5КТЛ80 ПО ГОСТ 1066-90
1.3. Характеристики
1.3.1. Базовое исполнение
1.3.1.1. Проволоку изготовляют нормальной точности по д и а метру.
1.3.1.2. Проволока по состоянию материала изготовляется мягкой, полутвердой и твердой.
Состояние материала проволоки в зависимости от ее размера, формы сечения и марки сплава должна соответствовать приведенным в табл. 3.
|
Таблица 3 |
|||||||||||||||||||||||||||||
|
Примечание. С полутвердой и твердой проволоки должны быть сняты остаточные растягивающие поверхностные напряжения термическим (низкотемпературный отжиг) или механическим методом.
1.3.1.3. Поверхность проволоки должна быть чистой, свободной от загрязнений, затрудняющих ее осмотр. Не допускаются трещины, плены, риски, раковины, расслоения, вмятины, царапины глубиной, превышающей (после контрольной зачистки) предельные отклонения по размерам.
Допускаются на поверхности проволоки покраснения после травления, незначительные следы технологической смазки, местные потемнения и цвета побежалости.
1.3.1.4. Излом проволоки должен быть плотным и однородным, без посторонних включений, расслоений и пустот.
1.3.1.5. Механические свойства проволоки должны соответствовать нормам, приведенным в табл. 4.
|
Таблица1 |
|||||||||||||||||||||||||||||||||||||||||||||||||||||||||||||||||||||||||||||||||||||||||||||||||||||||||||||||||||||||||||||||||||||||||||||||||||||||||||||||||||||||||||||||||||||||||||||||||||||||||||||||||||||||||||||||||||||||||||||
|
|||||||||||||||||||||||||||||||||||||||||||||||||||||||||||||||||||||||||||||||||||||||||||||||||||||||||||||||||||||||||||||||||||||||||||||||||||||||||||||||||||||||||||||||||||||||||||||||||||||||||||||||||||||||||||||||||||||||||||||
1.3.1.6. Твердая проволока диаметром от 0,5 до 5,0 мм из сплавов марок J168 и J163 должна выдерживать испытание на перегиб.
Проволока из сплава марки J168 должна выдерживать без разрушения не менее шести, а проволока марки J163 — не менее четырех перегибов.
1.3.1.7. Масса отрезка проволоки в мотке (на катушке, шпуле) приведена в приложении 2.
1.3.2. Исполнение по требованию потребителя
1.3.2.1. Проволоку изготовляют повышенной точности в соответствии с требованиями, приведенными в табл. 1 и 2.
1.3.2.2. Круглую проволоку изготовляют диаметрами 0,35; 1,25; 2,15; 2,30; 3,10; 3,50; 3,70; 4,70; 5,20; 5,50 и 6,50 мм с предельными отклонениями (нормальной и повышенной точности), равными отклонениям ближайшего меньшего диаметра.
1.3.2.3. Проволоку изготовляют антимагнитной в соответствии с ГОСТ 15527.
1.3.2.4. Круглую проволоку изготовляют повышенной точности по овальности, не превышающей половины предельных отклонений по диаметру.
1.3.2.5. Проволоку изготовляют с повышенной чистотой поверхности, при которой глубина поверхностных дефектов (после контрольной зачистки), приведенных в п. 1.3.1.3, не должна превышать половины предельных отклонений по размерам.
1.3.2.6. Проволоку в полутвердом состоянии изготовляют с регламентированными пределами временного сопротивления диаметрами:
из латуни марки J168:
от 0,18 до 0,75 мм —390—640 (40—65) МПа (кгс/мм2); св. 0,75 до 1,40 мм —370—590 (38—60) МПа (кгс/мм2); св. 1,40 до 12,0 мм —340—540 (35—55) МПа (кгс/мм2); из латуни марки J163:
от 1,00 до 4,80 мм —390—590 (40—60) МПа (кгс/мм2); св. 4,80 до 12,0 мм—350—540 (36—55) МПа (кгс/мм2).
1.3.2.7. Проволоку повышенной прочности из латуни марки J1C59—1 изготовляют с временным сопротивлением в полутвердом состоянии диаметрами св. 1,9 до 5,00 мм — 430—590 (44—60), в твердом состоянии диаметрами св. 5,0 до 12,0 мм — 490—640 (50—65) МПа (кгс/мм2).
1.3.2.8. Проволоку повышенной пластичности изготовляют с относительным удлинением после разрыва из латуни марки J180 в мягком состоянии — не менее 30%, в полутвердом состоянии — не менее 20%, из латуни марки J1C59 — 1 в полутвердом состояния диаметрами св. 1,9 до 5,0 мм
— не менее 12%.
1.3.3. Исполнение по согласованию изготовителя с потребителем
1.3.3.1. Круглую проволоку изготовляют, диаметрами, приведенными в табл. 1 в скобках и другими промежуточными диаметрами с предельными отклонениями (нормальной и повышенной точности), равными отклонениям ближайшего большего диаметра.
1.3.3.2. Допускается твердую и полутвердую проволоку изготовлять без снятия остаточных растягивающих поверхностных напряжений.
1.3.3.3. Мягкую проволоку изготовляют с регламентированным верхним пределом временного сопротивления.
1.3.3.4. Допускается полутвердую и твердую проволоку изготовлять с регламентированными пределами временного сопротивления, отличающимися от приведенных в табл. 4 не более чем на 10%.
1.3.3.5. Допускается твердую проволоку из сплавов J168 и J163 подвергать только испытаниям на перегиб без проведения испытаний на разрыв (временное сопротивление и относительное удлинение после разрыва).
1.3.3.6. Квадратную и шестигранную проволоку’ изготовляют диаметрами 3,2 и 9,0 мм.
1.3.3.7. Проволоку изготовляют с нормальной массой мотка, катушки (шпули), превышающей нормы, приведенные в приложении 2. При этом предельные отклонения по диаметру, овальность и качество поверхности проволоки устанавливаются по согласованию.
1.4. Маркировка
К каждому мотку, если он не связан в бухту, или бухте (шпуле) должен быть прикреплен фанерный, металлический или пластмассовый ярлык, на каждую катушку должна быть наклеена этикетка с указанием на них:
товарного знака или наименования и товарного знака предприятия-изготовителя;
условного обозначения проволоки;
номера партии;
штампа или клейма технического контроля, или номера контролера ОТК.
1.5. Упаковка
1.5.1. Проволоку диаметром 0,30 мм и менее наматывают на катушки (шпули), диаметром более 0,30 мм свертывают в мотки.
По требованию потребителя проволоку диаметров от 0,30 до 0,50 мм включительно наматывают на катушки (шпули).
1.5.2. Проволоку наматывают на катушки (шпули) или свертывают в мотки правильными, неперепутанными рядами, без резких изгибов. Концы проволоки должны быть прочно закреплены с обеспечением свободного нахождения внешнего конца и свободного разматывания проволоки.
1.5.3. В каждый моток или на каждую катушку (шпулю) должен быть намотан только один отрезок проволоки без сростков, скруток и узлов.
По согласованию изготовителя с потребителем допускается намотка на шпулю нескольких отрезков проволоки, массой каждого отрезка не менее нормальной массы мотка. Концы каждого отрезка должны быть надежно закреплены.
1.5.4. Каждый моток должен быть перевязан проволокой диаметром не менее
0,5 мм в двух местах симметрично, со скруткой концов проволоки не менее трех витков.
1.5.5. Мотки проволоки одной партии связывают в бухты. Каждая бухта должна быть прочно перевязана проволокой диаметром не менее 1 мм не менее чем в трех местах по окружности бухты со скруткой концов проволоки не менее пяти витков.
1.5.6. Для перевязки мотков и бухт применяется проволока по ГОСТ 3282, ГОСТ 1066 или шпагат.»
1.5.7. Мотки, бухты или катушки проволоки диаметром 0,60 мм и менее должны быть упакованы в деревянные ящики по ГОСТ 2991, ГОСТ 11002, выстланные бумагой.
Мотки или бухты проволоки диаметром более 0,60 мм должны’ быть обернуты нетканым материалом по нормативно-технической документации и перевязаны проволокой диаметром не менее мм в двух местах симметрично или шпагатом равномерно по окружности мотка или бухты по спирали.
Каждая шпуля должна быть обернута по длине картоном и перевязана проволокой диаметром не менее 0,5 мм в двух местах.
В качестве упаковочных и перевязочных материалов применяют: бумагу по ГОСТ 8273; картон по ГОСТ 9347; ленту по ГОСТ 3560; проволоку по ГОСТ 3282, ГОСТ 1066; шпагат синтетический.
По согласованию изготовителя с потребителем допускается применять другие ящики и другие перевязочные и упаковочные материалы, за исключением льняных и хлопчатобумажных тканей, по прочности не уступающие перечисленным выше и обеспечивающие сохранность качества продукции.
Наружный диаметр мотка или бухты не должен превышать 1000 мм для проволоки диаметром до 6,0 мм и 1500 мм — для проволоки диаметром более 6,0 мм.
1.5.8. Масса грузового места не должна превышать 80 кг. При механизированной погрузке и выгрузке допускается повышенная масса грузового места.
1.5.9. Грузовые места формируют в грузовые транспортные пакеты в соответствии с требованиями ГОСТ 24597, ГОСТ 26663, ГОСТ 21650, ГОСТ 9078. Формирование пакетов допускается осуществлять без поддонов с применением деревянных брусков размером не менее 50×50. В качестве обвязочных средств применяют проволоку диаметром не менее 3 мм по ГОСТ 3282, ленту по ГОСТ 3560 размерами не менее 0,3×30 мм или другие материалы, обеспечивающие сохранность пакета. Концы проволоки соединяют скруткой, ленты — в замок.
Масса транспортного пакета не должна превышать 1250 кг, высота —1350
мм.
1.5.10. Бухты (мотки) или шпули проволоки диаметром 0,60 мм и менее допускается транспортировать в универсальных контейнерах по ГОСТ 20435, ГОСТ 22225 или в ящичных поддонах по нормативно-технической документации без упаковывания в ящики.
Допускается бухты (мотки) проволоки диаметром более 0,60 мм транспортировать в ящичных поддонах без упаковывания в упаковочные материалы; проволоку диаметром 2,0 мм и более не упаковывать в упаковочные материалы при транспортировании в контейнерах.
В каждый контейнер должен быть вложен упаковочный лист, на котором указывают сведения, приведенные в п. 1.4.
1.5.11. Упаковка проволоки в районы Крайнего Севера и приравненные к ним районы — по ГОСТ 15846.
2. ПРИЕМКА
2.1. Проволоку принимают партиями. Партия должна состоять из проволоки одной марки сплава, одной формы сечения, одного диаметра, одной точности изготовления и одного состояния материала и должна быть оформлена документом о качестве, содержащим:
товарный знак или наименование и товарный знак предприятия-изготовителя;
условное обозначение проволоки;
номер партии;
массу партии;
результаты испытаний (по требованию потребителя).
Масса партии должна быть не более 2000 кг.
2.2. Химический состав определяют на двух мотках, катушках (шпулях), взятых от партии.
Допускается на предприятии-изготовителе определять химический состав на пробах, взятых от расплавленного металла.
2.3. Для проверки качества поверхности и размеров проволоки от партии отбирают мотки (катушки, шпули) «вслепую» (методом наибольшей объективности) по ГОСТ 18321. Планы контроля соответствуют ГОСТ 18242. Количество отбираемых мотков (катушек, шпуль) определяют по табл. 5.
|
Таблица 5 |
||||||||||||
|
|
_Продолжение табл. 5 |
||||||||||||||||||||||||
|
Партия считается годной, если число мотков (катушек, шпуль), не соответствующее требованиям табл. 1, 2, пп. 1.3.1.3, 1.3.2,1, 1.3.2.2, 1.3.2.5, 1.3.3.1 и 1.3.3.6, менее браковочного числа, приведенного в табл. 5.
Допускается изготовителю при получении неудовлетворительных результатов контролировать каждый моток (катушку, шпулю).
2.4. Допускается изготовителю контролировать качество поверхности и размеры проволоки в процессе производства.
2.5. Для испытания на разрыв, перегиб и для проверки качества излома отбирают два мотка (катушки, шпули) от партии.
Контроль наличия остаточных растягивающих поверхностных напряжений проводится по требованию потребителя на двух мотках (катушках, шпулях), взятых от партии.
2.6. При получении неудовлетворительных результатов испытаний хотя бы по одному из показателей (кроме качества поверхности и размеров) по нему проводят повторное испытание на удвоенной выборке, взятой от той же партии.
Результаты повторных испытаний распространяются на всю партию.
3. МЕТОДЫ КОНТРОЛЯ
3.1. Осмотр поверхности проволоки проводят без применения увеличительных приборов. Контроль качества поверхности проводят с заданной вероятностью 97,5% (приемочный уровень дефектности равен 2,5%).
3.2. Определение размера проволоки и овальности проводят в двух взаимно перпендикулярных направлениях одного и того же сечения микрометром по ГОСТ 6507 или другими приборами, обеспечивающими необходимую точность. Контроль размеров проводят с заданной вероятностью 97,5% (приемочный уровень дефектности равен 2,5%).
3.3. Для проверки качества излома от каждого отобранного мотка вырезают по два образца. Качество излома проверяют на проволоке диаметром не менее 2 мм. Для получения излома проволоку надрезают на глубину, не превышающую ‘/4 ее диаметра, и отламывают по надрезу. Осмотр излома проводят без применения увеличительных приборов.
3.4. Для испытания на растяжение (временное сопротивление
и относительное удлинение после разрыва) от каждого отобранного мотка (катушки, шпули) вырезают по два образца. Отбор проб для испытания на растяжение проводят по ГОСТ 10446 на образцах с расчетной длиной 100 мм.
3.5. Для испытания на перегиб от каждого отобранного мотка (катушки, шпули) вырезают по два образца. Отбор проб и испытание проволоки на перегиб проводят по ГОСТ 1579.
3.6. Контроль наличия остаточных растягивающих поверхностных
напряжений проводят по методике, приведенной в ГОСТ 2060.
3.7. Для анализа химического состава от каждого отобранного мотка (катушки, шпули) вырезают по одному образцу. Отбор и подготовку проб для определения химического состава проводят по ГОСТ 24231.
Химический состав определяют по ГОСТ 25086, ГОСТ 1652.1 — 1652.3, ГОСТ 1652.5 —ГОСТ 1652.8, ГОСТ 1652.13, ГОСТ 9716.1 — ГОСТ 9716.3 или другими методами, обеспечивающими необходимую точность определения.
При возникновении разногласий в оценке химического состава проволоки анализ проводят по ГОСТ 25086, ГОСТ 1652.1 — 1652.3, ГОСТ 1652.5 —
ГОСТ 1652.8, ГОСТ 1652.13, ГОСТ 9716.1 —ГОСТ 9716.3.
3.8. Допускается по согласованию изготовителя с потребителем применять статистические методы контроля механических свойств,
4. ТРАНСПОРТИРОВАНИЕ И ХРАНЕНИЕ
4.1. Транспортная маркировка— по ГОСТ 14192.
4.2. Проволоку транспортируют транспортом всех видов в крытых транспортных средствах в соответствии с правилами перевозки грузов, действующими на транспорте данного вида. Железнодорожным транспортом
— мелкими и малотоннажными отправками.
4.3. При хранении проволока должна быть защищена от механических повреждений, действия влаги и активных химических веществ.
4.4. Проволока должна храниться у потребителя в крытом помещении в упаковке изготовителя до выравнивания температуры проволоки с температурой окружающей среды. После этого проволока должна быть распакована и храниться на стеллажах или поддонах.
При соблюдении указанных условий хранения потребительские свойства проволоки при хранении не изменяются.
ГОСТ 1066-90 С. 14 ПРИЛОЖЕНИЕ 1
Справочное
|
сорстичсская масса 1000 м |
проволоки круглого сечения |
||||
|
Диаметр |
Площадь |
Теоретическая |
Диаметр |
Площадь |
Теоретическая |
|
проволоки, |
поперечного |
масса 1000 м. |
проволоки, |
поперечного |
масса 1000 и |
|
мм |
сечения, мм |
кг |
мм |
сечения, мм |
проволока, кг |
|
0,10 |
0,00786 |
0,067 |
2,00 |
3,14159 |
26,704 |
|
0,11 |
0.00950 |
0,081 |
2,15 |
3,63050 |
30,860 |
|
0,12 |
0,01131 |
0,096 |
2,20 |
3,80133 |
32,311 |
|
0,14 |
0,01539 |
0,131 |
2,30 |
4,15476 |
35,316 |
|
0,15 |
0,01707 |
0,150 |
2,40 |
4,52369 |
38,453 |
|
0,16 |
0,02011 |
0,171 |
2,50 |
4,90874 |
41,724 |
|
0,17 |
0,02270 |
0,193 |
2,60 |
5,30929 |
45,129 |
|
0,18 |
0,02545 |
0,216 |
2,80 |
6,15732 |
52,339 |
|
0,20 |
0,03142 |
0,267 |
3,00 |
7,06858 |
60,083 |
|
0,22 |
0,03801 |
0,323 |
3,10 |
7,54768 |
64,155 |
|
0,24 |
0,04524 |
0,385 |
3,20 |
8,04248 |
68,361 |
|
0,25 |
0,04909 |
0,417 |
3,40 |
9,07920 |
77,183 |
|
0,28 |
0,06158 |
0,523 |
3,50 |
9,62113 |
81,780 |
|
0,30 |
0,07069 |
0,601 |
3,60 |
10,17876 |
86,520 |
|
0,32 |
0,08043 |
0,684 |
3,70 |
10,75210 |
91,393 |
|
0,35 |
0,09621 |
0,818 |
3,80 |
11,34115 |
96,400 |
|
0,36 |
0,10179 |
0,865 |
4,00 |
12,56637 |
106,614 |
|
0,40 |
0,12566 |
1,068 |
4,20 |
13,85442 |
117,763 |
|
0,45 |
0,15904 |
1,352 |
4,50 |
15,90431 |
135,187 |
|
0,50 |
0,19635 |
1,669 |
4,70 |
17,34944 |
147.470 |
|
0,56 |
0,24630 |
2,094 |
4,80 |
18,09557 |
153,812 |
|
0,60 |
0,28274 |
2,403 |
5,00 |
19,63485 |
166,097 |
|
0,63 |
0,31173 |
2,650 |
5,20 |
21,23717 |
180,516 |
|
0,70 |
0,38485 |
3,271 |
5,30 |
22,06183 |
187,526 |
|
0,75 |
0,44179 |
3,755 |
6,50 |
23,75829 |
201,946 |
|
0,80 |
0,50266 |
4,273 |
5,60 |
24,63009 |
209,356 |
|
0,90 |
0,63617 |
5,408 |
6,00 |
28,27433 |
240,332 |
|
1,00 |
0,78540 |
6,676 |
6,30 |
31,17245 |
264,966 |
|
1,10 |
0,95033 |
8,078 |
6,50 |
33,18307 |
272,056 |
|
1,20 |
1,13097 |
9.613 |
7,00 |
38,48451 |
327,118 |
|
1.25 |
1,22719 |
10,431 |
7,50 |
44,17865 |
375,519 |
|
1,30 |
1,32732 |
11,282 |
8,00 |
50,26548 |
427,257 |
|
1,40 |
1,53938 |
13,085 |
8,50 |
56,74502 |
482,333 |
|
1,50 |
1,76715 |
15,021 |
9,00 |
63,61725 |
540,747 |
|
1,60 |
2,01062 |
17,091 |
9,50 |
70,883 |
602,480 |
|
1,70 |
2,26980 |
19,293 |
10,0 |
78,53982 |
667,589 |
|
1,80 |
2,54460 |
21,630 |
11,0 |
95.03317 |
807,782 |
|
1,90 |
2.83529 |
24,100 |
12,0 |
113,09733 |
961,133 |
|
Теоретическая масса 1000 м проволоки квадратного и шестигранного сечения Таблица 7 |
|||||||||||||||||||||||||||||||||||||||||||||||||||||||||||||||||||||||||||||||
|
|||||||||||||||||||||||||||||||||||||||||||||||||||||||||||||||||||||||||||||||
Теоретическая масса проволоки вычислена по номинальным размерам для: марки JIC59—1, плотность которой принята равной 8,5 г/см3.
Для латуней других марок следует применять коэффициенты пересчета:
JI80— 1,0188 (плотность 8,66 г/см3);
JI68 —1,0118 (плотность 8,60 г/см3);
JI63—0,9918 (плотность 8,43 г/см3).
ПРИЛОЖЕНИЕ 2 Обязательное
|
Диаметр проволоки, мм |
Масса о | |
